Heart-on-a-Chip

The heart-on-a-chip is a 3D Cardiac Strip assay cultured in a 384-well screening format. We have successfully miniaturized the 3D cardiac strip to less than 5.000 hiPSC-cardiomyocytes per strip (compare: current standard 500k – 1M hiPSCs/strip), and we are able to reliably measure force of contraction, relaxation and contractile kinetics in this miniaturized setting.

We have been granted €1.45 million from the EIC-Transition to bring our hiPSC-3D cardiac strips into a high throughput setting. In this project, we will miniaturize,  automate and scale-up the production of human 3D cardiac strips by combining 3D cardiac tissues derived from human induced pluripotent stem cell (hiPSC) with microfluidic technology of TOP platform, to generate a functional, high throughput 3D cardiac strips assay suitable for large scale drug screening.

Click here for more information on this project.

 

  • High-throughput
  • Miniaturized < 20 000 cells
  • Contractility read-out
  • Low cost per data point
  • Easy to use

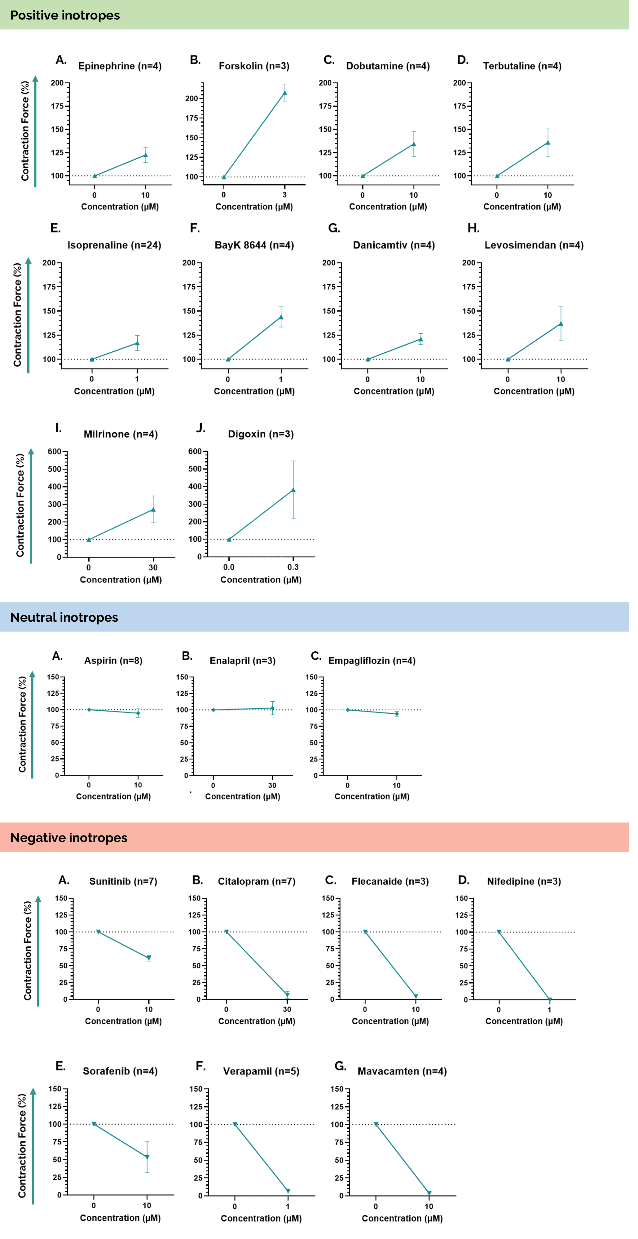
Data

Using the 3D Cardiac Strip assay a library of commonly used drugs has been tested on healthy strips.